Use PIFAs to Solve the Small-Product, Smaller-Antenna Dilemma
With few exceptions, all antennas in general use, ranging from miniature antennas in wearables to enormous broadcast designs, are extensions, enhancements, and modifications of two basic types. The balanced, half-wavelength dipole (Hertz) without ground reference and the electrically unbalanced quarter-wavelength monopole (Marconi) positioned at right angles to a ground plane (Figure 1).
Figure 1: The half-wave dipole and the quarter-wave monopole antennas are the building blocks for nearly all advanced antenna configurations. (Image source: EnOcean)
Of course, no single antenna type or configuration serves all the needed bands and roles in modern systems such as large commercial aircraft (Figure 2).
Figure 2: Modern aircraft require a large number and wide range of antenna types to meet the diverse functions and bands they must support. (Image source: Boeing via SWLing Post)
By using these two antenna types as starting points, engineers have devised countless variations that are tailored to the needs and priorities of applications. Many of today’s applications, such as smartphones or Internet of Things (IoT) devices, require a tiny antenna that fits completely within the small enclosure and operates on multiple bands. The external “whip” antenna of the traditional walkie-talkie and even early-generation cell phones cannot meet these requirements (Figure 3).
Figure 3: One of the earliest successful cell phones, this Motorola MicroTAC Classic, was released in 1991 and supported a single RF band via its extendable whip (monopole) antenna. (Image source: CNN)
It’s not just systems such as large aircraft that need multiband capabilities that cannot be met with a single external or internal antenna. Even a relatively dated smartphone, such as the 10-year-old Samsung Galaxy, was required to support different frequencies and modes via six distinct antennas, with the bottom conducting plane (ground plane) extending throughout the length and breadth of the phone (Figure 4).
Its antennas were as follows: 1: 2.6 gigahertz (GHz) WiMAX transmit/receive (Tx/Rx) antenna; 2: 2.6 GHz WiMAX antenna, Rx only (used as a diversity antenna); 3: Wi-Fi/Bluetooth Tx/Rx antenna; 4: Cell/PCS CDMA/EVDO Tx/Rx antenna; 5: Cell/PCS CDMA/EVDO Rx only (as a diversity antenna); 6: GPS antenna Rx only.
Figure 4: The 2011 Samsung Galaxy S embeds six distinct antennas. (Image source: RAYmaps)
The IFA leads to PIFA
Part of the solution to the antenna dilemma, whether single or multiple, is to look at new configurations that are based on monopoles or dipoles but are not constrained by their basic form factor. This is where the planar inverted-F antenna (PIFA) excels.
What is a PIFA? Start with the inverted-F antenna (IFA)—proposed in 1958—which is the third step in the evolution away from the basic monopole antenna and a variant of the patch antenna (Figure 5). From the side, it looks somewhat like the letter “F”, hence the name.
Figure 5: The classic monopole has gone through several evolutionary stages, with the IFA being the third stage, immediately before the PIFA. (Image source: European Union Digital Library)
In this arrangement, the monopole element runs parallel to a ground plane and is grounded at one end, with a low impedance on the order of a few ohms (Ω). The classic base-fed λ/4 wavelength monopole has a typical impedance of 36.5 Ω.
The antenna feed is placed at an intermediate point a short distance from the grounded end. By adjusting the placement of the feed, along with other “tweaks and trims,” its impedance can be made to match the power amplifier (PA) feed, making it an efficient radiator without the need for additional matching components.
The original inverted-F antenna used a bent wire for a monopole. The PIFA modifies the IFA by using a flat element, placed immediately above the ground plane, with a shorting pin between them. The PIFA is defined by a few basic dimensions (Figure 6).
Figure 6: The PIFA (left) is a modified IFA, with a flat element rather than a bent wire above the ground plane; it has a few critical dimensions (right). (Image sources: Springer Nature; European Union Digital Library)
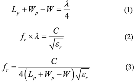
In addition to being resonant at a quarter wavelength, thus reducing the space needed for the antenna, the PIFA has other desirable antenna properties, including a low profile and an omnidirectional pattern. In a first-order analysis, the PIFA’s critical resonant frequency, fr, is determined by a few basic dimensions and simple equations, where λ is the wavelength, εr is the dielectric constant, and c is the speed of light (Figure 7).
Figure 7: These three relatively simple equations use the dimensions of the PIFA and some physical constants to calculate a first-order analysis of the PIFA’s resonant frequency. (Image source: European Union Digital Library)
Of course, a full electromagnetic field analysis must add to these equations to accommodate the effects of fringing, material thicknesses, nearby components, and other real-world considerations.
Off-the-shelf PIFAs ease design-in
PIFAs can be fabricated using microstrip printed circuit (pc) board technology. However, using the pc board as the ground plane is challenging in practice, as doing so increases the board size, constrains the layout of the pc board, and reduces the degrees of freedom the designer can use as a tradeoff. Instead, designers can use standard PIFAs that are available as complete, drop-in components with defined performance and attributes. These do not require pc board space for their underlying ground plane and even allow designers to make use of the space above the board.
For example, the Taoglas FXUWB20.01.0100C is a small-form-factor, flexible, ultra-thin PIFA for 3 to 5 GHz and 6 to 10 GHz ultra-wideband (UWB) designs (Figure 8). It measures 35 × 24.5 × 0.2 mm and attaches by a simple “peel and stick” process to non-metal surfaces via a 3M adhesive. It allows designers to use only one antenna to simultaneously cover the entire available UWB commercial bands, 1 through 15.
Figure 8: The FXUWB20.01.0100C PIFA antenna for 3 to 10 GHz measures 35 × 24.5 × 0.2 mm and is targeted at UWB applications using commercial bands 1 through 15. (Image source: Taoglas)
Electrical connection of the antenna to the circuit board is simple due to the integral 100 mm long coaxial cable that is terminated with a 1.37 mm male SMA connector. The antenna is designed to reject 5.8 GHz Wi-Fi signals within the broad 3 to 10 GHz span of the commercial UWB channels (Figure 9).
Figure 9: The FXUWB20.01.0100C UWB PIFA antenna for the 3 to 10 GHz spectrum has a gain notch at 5.8 GHz to attenuate undesired Wi-Fi signals. (Image source: Taoglas)
Conclusion
Antennas are the critical electrical circuit to wireless transducer. They come in countless forms, with most based on monopole and dipole configurations. The PIFA version is small and flat with excellent performance. While the PIFA can use the product’s circuit board for its ground plane, complete PIFAs are available as easy to install discrete components which offer layout and installation flexibility.
Related Content
“Antenna Design and Integration Fundamentals”
https://www.digikey.com/en/videos/d/digi-international/antenna-design-and-integration-fundamentals
“Antenna Selection Depends on Many Factors”
https://www.digikey.com/en/articles/antenna-selection-depends-on-many-factors
“Antenna Matching Within an Enclosure: Theory and Principle”
https://www.digikey.com/en/articles/antenna-matching-within-an-enclosure-theory-and-principle
“Understanding Antenna Specifications and Operation, Part 1”
https://www.digikey.com/en/articles/understanding-antenna-specifications-and-operation
“Understanding Antenna Specifications and Operation, Part 2”
https://www.digikey.com/en/articles/understanding-antenna-specifications-and-operation-part-2
“Achieving RF Performance and Approvals”
https://www.digikey.com/en/articles/achieving-rf-performance-and-approvals
References
- EnOcean, Application Note 102, “Antenna Basics – Basic Antenna Design Considerations for EnOcean based Products”
- RAYmaps, “Antennas on Samsung Galaxy S”
- Antenna-Theory.com, “Inverted-F Antenna (IFA)”
- Antenna-Theory.com, “PIFA - The Planar Inverted-F Antenna”
- European Union Digital Library, “Multiband Planar Inverted F Antenna (PIFA) for ISM, WLAN and WiMAX Applications”
Have questions or comments? Continue the conversation on TechForum, DigiKey's online community and technical resource.
Visit TechForum

