BT136X Series Datasheet by WeEn Semiconductors

filth BT13 fl (- 4Q Triac WeEn Rev.01 - 16 April 2018 Product data sheet ma. Sunk-Mum Table 1. Quick reference data
BT136X-600
4Q Triac
Rev.01 - 16 April 2018 Product data sheet
1. General description
Planar passivated four quadrant triac in a SOT186A (TO-220F) plastic package intended
for use in bidirectional switching and phase control applications.
2. Features and benefits
High blocking voltage capability
Planar passivated for voltage ruggedness and reliability
Less sensitive gate for improved noise immunity
Triggering in all four quadrants
Isolated package
3. Applications
General purpose motor control
General purpose switching
4. Quick reference data
Table 1. Quick reference data
Symbol Parameter Conditions Values Unit
Absolute maximum rating
VDRM repetitive peak off-state
voltage
600 V
IT(RMS) RMS on-state current full sine wave; Th ≤ 92 °C;
Fig. 1; Fig. 2; Fig. 3
4 A
ITSM non-repetitive peak on-
state current
full sine wave; Tj(init) = 25 °C;
tp = 20 ms; Fig. 4; Fig. 5
25 A
Symbol Parameter Conditions Min Typ Max Unit
Static characteristics
IGT gate trigger current VD = 12 V; IT = 0.1 A; T2+ G+;
Tj = 25 °C; Fig. 7
- 5 35 mA
VD = 12 V; IT = 0.1 A; T2+ G-;
Tj = 25 °C; Fig. 7
- 8 35 mA
VD = 12 V; IT = 0.1 A; T2- G-;
Tj = 25 °C; Fig. 7
- 11 35 mA
VD = 12 V; IT = 0.1 A; T2- G+;
Tj = 25 °C; Fig. 7
- 30 70 mA
Table 2. Plnnln lnforrnallon
WeEn Semiconductors BT136X-600
4Q Triac
BT136X-600
Product
data
sheet
All
information
provided in
this
document
is
subject
to
legal
disclaimers.
©
WeEn
Semiconductors
Co.,
Ltd.
2018.
All
rights
reserved
16
April
2018 2 / 13
5. Pinning information
6. Ordering information
Table 2. Pinning information
Pin Symbol Description Simplified outline Graphic symbol
1 T1 main terminal 1
321
mb
sym051
T1
G
T2
2 T2 main terminal 2
3 G gate
mb n.c. mounting base; isolated
Type number Package
Name Description Version
BT136X-600 TO-220F plastic single-ended package; isolated heatsink mounted;
1 mounting hole; 3-lead TO-220 "full pack"
SOT186A
Table 3. Ordering information
7. Marking
Type number Marking codes
BT136X-600 BT136X-600
Table 4. Marking codes
8. Limiting values full sine wave; Th 5 Fig 1; Fig 2; Fig 3 ‘ 12 "3.0179595 5 sea-009555 rims) iflRMS) 1A) 1A) 10 10'2 m" 1 11) surge duration (5) 4 50 100 150 Th ("0)
WeEn Semiconductors BT136X-600
4Q Triac
BT136X-600
Product
data
sheet
All
information
provided in
this
document
is
subject
to
legal
disclaimers.
©
WeEn
Semiconductors
Co.,
Ltd.
2018.
All
rights
reserved
16
April
2018 3 / 13
8. Limiting values
Table 5. Limiting values
In accordance with the Absolute Maximum Rating System (IEC 60134).
Symbol Parameter Conditions Values Unit
VDRM repetitive peak off-state
voltage
600 V
IT(RMS) RMS on-state current full sine wave; Th 92 °C;
Fig 1; Fig 2; Fig 3
4 A
ITSM non-repetitive peak on-
state current
full sine wave; Tj(init) = 25 °C; tp = 20 ms;
Fig 4; Fig 5
25 A
full sine wave; Tj(init) = 25 °C; tp = 16.7 ms 27 A
I2t I2t for fusing tp = 10 ms; SIN 3.1 A2s
dIT/dt rate of rise of on-state
current
IG = 70 mA; T2+ G+ 50 A/μs
IG = 70 mA; T2+ G- 50 A/μs
IG = 70 mA; T2- G- 50 A/μs
IG = 140 mA; T2- G+ 10 A/μs
IGM peak gate current 2 A
PGM peak gate power 5 W
PG(AV) average gate power over any 20 ms period 0.5 W
Tstg storage temperature -40 to 150 °C
Tj junction temperature 125 °C
f = 50 Hz; Th = 92 °C
Fig. 1. RMS on-state current as a function of surge
duration; maximum values
Fig. 2. RMS on-state current as a function of heatsink
temperature; maximum values
3 3397017651 81 canaucnon mm. T PW any“ factor Mme!) (W) (degrees) a («0) an 2515 92 so 1957 so 1570 1329 mu ma H4 ‘25 ‘nRMsHN m3 anzausza ‘TSM ITSM 1A) ‘7‘ 4. n 7W) : 25 'c max 102 m 10'5 104 10'3 10'2 10" ‘p {5)
WeEn Semiconductors BT136X-600
4Q Triac
BT136X-600
Product
data
sheet
All
information
provided in
this
document
is
subject
to
legal
disclaimers.
©
WeEn
Semiconductors
Co.,
Ltd.
2018.
All
rights
reserved
16
April
2018 4 / 13
Fig. 3. Total power dissipation as a function of RMS on-state current; maximum values
tp ≤ 20 ms
(1) dIT/dt limit
(2) T2- G+ quadrant limit
Fig. 4. Non-repetitive peak on-state current as a function of pulse width; maximum values
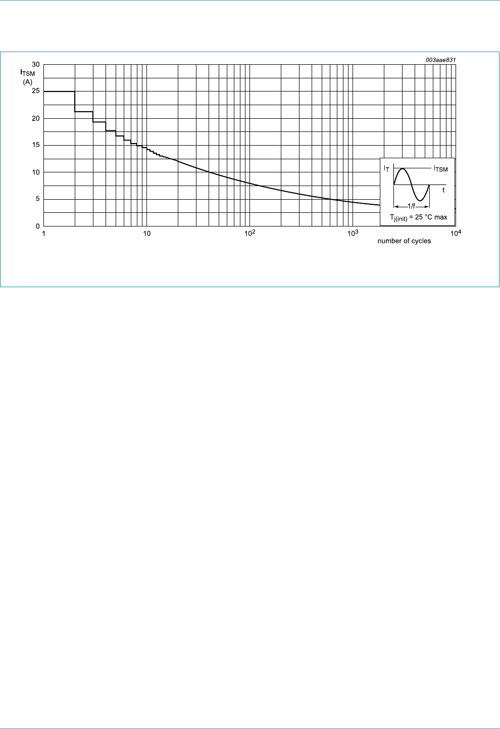
an Ooaaaescfi ITSM (A) 25 20 15 10 ‘71/(4. Tum) : 25 'C max 1 w 102 103 104 number m cyc‘es
WeEn Semiconductors BT136X-600
4Q Triac
BT136X-600
Product
data
sheet
All
information
provided in
this
document
is
subject
to
legal
disclaimers.
©
WeEn
Semiconductors
Co.,
Ltd.
2018.
All
rights
reserved
16
April
2018 5 / 13
f = 50 Hz
Fig. 5. Non-repetitive peak on-state current as a function of the number of sinusoidal current cycles; maximum
values
9. Thermal characteristics Table 6. Thermal characteristics aamuUQBUfi 10 2mm (W) m" 10'? 10'5 104 10'3 10'2 1a" 1 10 IF ls) 10. Isolation characteristics Table 7. Isolation characteristics
WeEn Semiconductors BT136X-600
4Q Triac
BT136X-600
Product
data
sheet
All
information
provided in
this
document
is
subject
to
legal
disclaimers.
©
WeEn
Semiconductors
Co.,
Ltd.
2018.
All
rights
reserved
16
April
2018 6 / 13
9. Thermal characteristics
Table 6. Thermal characteristics
Symbol Parameter Conditions Min Typ Max Unit
Rth(j-h) thermal resistance
from junction to
heatsink
full or half cycle; with heatsink
compound; Fig 6
- - 5.5 K/W
full or half cycle; without heatsink
compound; Fig 6
- - 7.2 K/W
Rth(j-a) thermal resistance
from junction to
ambient
in free air - 55 - K/W
(1) Unidirectional (half cycle) without heatsink compound
(2) Bidirectional (full cycle) with heatsink compound
(3) Unidirectional (half cycle) with heatsink compound
(4) Bidirectional (full cycle) without heatsink compound
Fig. 6. Transient thermal impedance from junction to heatsink as a function of pulse width
10. Isolation characteristics
Table 7. Isolation characteristics
Symbol Parameter Conditions Min Typ Max Unit
Visol(RMS) RMS isolation voltage from all terminals to external heatsink;
sinusoidal waveform; clean and dust
free; 50 Hz ≤ f ≤ 60 Hz; RH ≤ 65 %;
Th = 25 °C
- - 2500 V
Cisol isolation capacitance from main terminal 2 to external
heatsink; f = 1 MHz; Th = 25 °C
- 10 - pF
11. Characteristics
WeEn Semiconductors BT136X-600
4Q Triac
BT136X-600
Product
data
sheet
All
information
provided in
this
document
is
subject
to
legal
disclaimers.
©
WeEn
Semiconductors
Co.,
Ltd.
2018.
All
rights
reserved
16
April
2018 7 / 13
11. Characteristics
Table 8. Characteristics
Symbol Parameter Conditions Min Typ Max Unit
Static characteristics
IGT gate trigger current VD = 12 V; IT = 0.1 A; T2+ G+;
Tj = 25 °C; Fig. 7
- 5 35 mA
VD = 12 V; IT = 0.1 A; T2+ G-;
Tj = 25 °C; Fig. 7
- 8 35 mA
VD = 12 V; IT = 0.1 A; T2- G-;
Tj = 25 °C; Fig. 7
- 11 35 mA
VD = 12 V; IT = 0.1 A; T2- G+;
Tj = 25 °C; Fig. 7
- 30 70 mA
IL latching current VD = 12 V; IG = 0.1 A; T2+ G+;
Tj = 25 °C; Fig. 8
- 7 20 mA
VD = 12 V; IG = 0.1 A; T2+ G-;
Tj = 25 °C; Fig. 8
- 16 30 mA
VD = 12 V; IG = 0.1 A; T2- G-;
Tj = 25 °C; Fig. 8
- 5 20 mA
VD = 12 V; IG = 0.1 A; T2- G+;
Tj = 25 °C; Fig. 8
- 7 30 mA
IH holding current VD = 12 V; Tj = 25 °C; Fig. 9 - 5 15 mA
VT on-state voltage IT = 5 A; Tj = 25 °C; Fig. 10 - 1.4 1.7 V
VGT gate trigger voltage VD = 12 V; IT = 0.1 A; Tj = 25 °C;
Fig. 11
- 0.7 1 V
VD = 400 V; IT = 0.1 A; Tj = 125 °C;
Fig. 11
0.25 0.4 - V
ID off-state current VD = 600 V; Tj = 125 °C - 0.1 0.5 mA
Dynamic characteristics
dVD/dt rate of rise of off-state
voltage
VDM = 402 V; Tj = 125 °C; (VDM = 67%
of VDRM); exponential waveform; gate
open circuit
100 250 - V/μs
dVcom/dt rate of change of
commutating voltage
VD = 400 V; Tj = 95 °C; IT = 4 A;
dIcom/dt = 1.8 A/ms; gate open circuit
- 50 - V/μs
tgt gate-controlled turn-on
time
VD = 600 V; ITM = 6 A; IG = 0.1 A;
dIG/dt = 5 A/μs
- 2 - μs
mamas 3 003539533 3 ‘GT ‘L ‘m(25 ”C) ‘L(2s"c1 in L2) 2 2 (a) m 1 ‘ \ \ \ \\ § 0 o -60 40 4D «40 -6o 40 4o 90 140 T‘('C mm 2 u Winn-5:7 1 2 003mm ‘H Mus‘c) \r (A) 15 a 10 / A l (M (2) (a) o o / 760 49 AD 90 Mn 0 2 3 WW) I, (‘CD
WeEn Semiconductors BT136X-600
4Q Triac
BT136X-600
Product
data
sheet
All
information
provided in
this
document
is
subject
to
legal
disclaimers.
©
WeEn
Semiconductors
Co.,
Ltd.
2018.
All
rights
reserved
16
April
2018 8 / 13
Fig. 9. Normalized holding current as a function of
junction temperature
Vo = 1.27 V; Rs = 0.091 Ω
(1) Tj = 125 °C; typical values
(2) Tj = 125 °C; maximum values
(3) Tj = 25 °C; maximum values
Fig. 10. On-state current as a function of on-state
voltage
Fig. 8. Normalized latching current as a function of
junction temperature
(1) T2- G+
(2) T2- G-
(3) T2+ G-
(4) T2+ G+
Fig. 7. Normalized gate trigger current as a function of
junction temperature
uaaaaessz 1 a Vsr Vsr(25 '0) 12 n8 n4 40 90 T‘ cc) 14o
WeEn Semiconductors BT136X-600
4Q Triac
BT136X-600
Product
data
sheet
All
information
provided in
this
document
is
subject
to
legal
disclaimers.
©
WeEn
Semiconductors
Co.,
Ltd.
2018.
All
rights
reserved
16
April
2018 9 / 13
Fig. 11. Normalized gate trigger voltage as a function of junction temperature
P1ast1c s1ng1arandad Package: 15515155 mmsmk mounladn maunnng r1515: 71:55 T07220 “(011 pack“ sonasA y R ‘ i 1 1 1 D1 ’ C) Q (3 J‘(2) Lé” ‘ (2) 7 I K ‘ % 1 101 L 1 b8 1 C l k) 2 2 1 3 UNITAA1b b11525 D D15 e e1j()x()L L.L§)1= 0 q WT() max 4.5 2.9 0.9 1.1 1.4 0.7155 5.5103 2.7 5.5 14.4 3.30 3.2 2.5 3.0 mm 2.54 5.05 3 0.4 2.5 4.0 2.5 0.7 0.9 1.0 0.4152 5.3 9.7 1.7 5413.5 2.70 3.0 2.3 2.5 Notes 1. Tammi-:1 dimenslcns mm. m: zone are uncolrelled 2. Do! um urea «an"; my my 3. 2km pln mark II for rai-mnce amy oumu: mamas :uaovzm VERS‘ON 1:0 1:050 JEITA PRDJECTION '55“ “TE 5011554 3 1.54175 mm: E-Q 2013711714
WeEn Semiconductors BT136X-600
4Q Triac
BT136X-600
Product
data
sheet
All
information
provided in
this
document
is
subject
to
legal
disclaimers.
©
WeEn
Semiconductors
Co.,
Ltd.
2018.
All
rights
reserved
16
April
2018 10 / 13
12. Package outline
13. Legal information ha m slgn. ata sugar [5 axplalned In sewn s Mdevlea(s) descnbed In nus 5 document was punusnaa an ha \alast pmduct status Info! mtg/mm en—seml m
WeEn Semiconductors BT136X-600
4Q Triac
BT136X-600
Product
data
sheet
All
information
provided in
this
document
is
subject
to
legal
disclaimers.
©
WeEn
Semiconductors
Co.,
Ltd.
2018.
All
rights
reserved
16
April
2018 11 / 13
13. Legal information
Data sheet status
Document
status [1][2]
Product
status [3]
Definition
Objective
[short] data
sheet
Development This document contains data from
the objective specification for product
development.
Preliminary
[short] data
sheet
Qualification This document contains data from the
preliminary specification.
Product
[short] data
sheet
Production This document contains the product
specification.
[1 lease consult the most recently issued document before initiating or
completing a design.
[2] The term 'short data sheet' is explained in section "Definitions".
[3] The product status of device(s) described in this document may have
changed since this document was published and may differ in case of
multiple devices. The latest product status information is available on
the Internet at URL http://www.ween-semi.com.
Definitions
Draft — The document is a draft version only. The content is still under
internal review and subject to formal approval, which may result in
modifications or additions. WeEn Semiconductors does not give any
representations or warranties as to the accuracy or completeness of
information included herein and shall have no liability for the consequences
of use of such information.
Short data sheet — A short data sheet is an extract from a full data sheet
with the same product type number(s) and title. A short data sheet is
intended for quick reference only and should not be relied upon to contain
detailed and full information. For detailed and full information see the
relevant full data sheet, which is available on request via the local WeEn
Semiconductors sales office. In case of any inconsistency or conflict with the
short data sheet, the full data sheet shall prevail.
Product specification — The information and data provided in a Product
data sheet shall define the specification of the product as agreed between
WeEn Semiconductors and its customer, unless WeEn Semiconductors and
customer have explicitly agreed otherwise in writing. In no event however,
shall an agreement be valid in which the WeEn Semiconductors product
is deemed to offer functions and qualities beyond those described in the
Product data sheet.
Disclaimers
Limited warranty and liability — Information in this document is believed
to be accurate and reliable. However, WeEn Semiconductors does not
give any representations or warranties, expressed or implied, as to the
accuracy or completeness of such information and shall have no liability for
the consequences of use of such information. WeEn Semiconductors takes
no responsibility for the content in this document if provided by an information
source outside of WeEn Semiconductors.
In no event shall WeEn Semiconductors be liable for any indirect, incidental,
punitive, special or consequential damages (including - without limitation -
lost profits, lost savings, business interruption, costs related to the removal
or replacement of any products or rework charges) whether or not such
damages are based on tort (including negligence), warranty, breach of
contract or any other legal theory.
Notwithstanding any damages that customer might incur for any reason
whatsoever, WeEn Semiconductors’ aggregate and cumulative liability
towards customer for the products described herein shall be limited in
accordance with the Terms and conditions of commercial sale of WeEn
Semiconductors.
Right to make changes — WeEn Semiconductors reserves the right to
make changes to information published in this document, including without
limitation specifications and product descriptions, at any time and without
notice. This document supersedes and replaces all information supplied prior
to the publication hereof.
Suitability for use — WeEn Semiconductors products are not designed,
authorized or warranted to be suitable for use in life support, life-critical
or safety-critical systems or equipment, nor in applications where failure
or malfunction of an WeEn Semiconductors product can reasonably
be expected to result in personal injury, death or severe property or
environmental damage. WeEn Semiconductors and its suppliers accept no
liability for inclusion and/or use of WeEn Semiconductors products in such
equipment or applications and therefore such inclusion and/or use is at the
customer’s own risk.
Quick reference data — The Quick reference data is an extract of the
product data given in the Limiting values and Characteristics sections of this
document, and as such is not complete, exhaustive or legally binding.
Applications — Applications that are described herein for any of these
products are for illustrative purposes only. WeEn Semiconductors makes
no representation or warranty that such applications will be suitable for the
specified use without further testing or modification.
Customers are responsible for the design and operation of their applications
and products using WeEn Semiconductors products, and WeEn
Semiconductors accepts no liability for any assistance with applications or
customer product design. It is customer’s sole responsibility to determine
whether the WeEn Semiconductors product is suitable and fit for the
customer’s applications and products planned, as well as for the planned
application and use of customer’s third party customer(s). Customers should
provide appropriate design and operating safeguards to minimize the risks
associated with their applications and products.
WeEn Semiconductors does not accept any liability related to any default,
damage, costs or problem which is based on any weakness or default
in the customer’s applications or products, or the application or use by
customer’s third party customer(s). Customer is responsible for doing all
necessary testing for the customer’s applications and products using WeEn
Semiconductors products in order to avoid a default of the applications
and the products or of the application or use by customer’s third party
customer(s). WeEn does not accept any liability in this respect.
Limiting values — Stress above one or more limiting values (as defined in
the Absolute Maximum Ratings System of IEC 60134) will cause permanent
damage to the device. Limiting values are stress ratings only and (proper)
operation of the device at these or any other conditions above those
given in the Recommended operating conditions section (if present) or the
Characteristics sections of this document is not warranted. Constant or
repeated exposure to limiting values will permanently and irreversibly affect
the quality and reliability of the device.
No offer to sell or license — Nothing in this document may be interpreted
or construed as an offer to sell products that is open for acceptance or the
grant, conveyance or implication of any license under any copyrights, patents
or other industrial or intellectual property rights.
Export control — This document as well as the item(s) described herein
may be subject to export control regulations. Export might require a prior
authorization from competent authorities.
Non-automotive qualified products — Unless this data sheet expressly
states that this specific WeEn Semiconductors product is automotive
qualified, the product is not suitable for automotive use. It is neither qualified
nor tested in accordance with automotive testing or application requirements.
WeEn Semiconductors accepts no liability for inclusion and/or use of non-
automotive qualified products in automotive equipment or applications.
In the event that customer uses the product for design-in and use in
automotive applications to automotive specifications and standards,
customer (a) shall use the product without WeEn Semiconductors’ warranty
of the product for such automotive applications, use and specifications, and
(b) whenever customer uses the product for automotive applications beyond
WeEn Semiconductors’ specifications such use shall be solely at customer’s
own risk, and (c) customer fully indemnifies WeEn Semiconductors for
any liability, damages or failed product claims resulting from customer
design and use of the product for automotive applications beyond WeEn
Semiconductors’ standard warranty and WeEn Semiconductors’ product
specifications.
]P
WeEn Semiconductors BT136X-600
4Q Triac
BT136X-600
Product
data
sheet
All
information
provided in
this
document
is
subject
to
legal
disclaimers.
©
WeEn
Semiconductors
Co.,
Ltd.
2018.
All
rights
reserved
16
April
2018 12 / 13
Translations — A non-English (translated) version of a document is for
reference only. The English version shall prevail in case of any discrepancy
between the translated and English versions.
Trademarks
Notice: All referenced brands, product names, service names and
trademarks are the property of their respective owners.
14. Contents
WeEn Semiconductors BT136X-600
4Q Triac
BT136X-600
Product
data
sheet
All
information
provided in
this
document
is
subject
to
legal
disclaimers.
©
WeEn
Semiconductors
Co.,
Ltd.
2018.
All
rights
reserved
16
April
2018 13 / 13
14. Contents
1. General description .......................................................1
2. Features and benefits ...................................................1
3. Applications ...................................................................1
4. Quick reference data ..................................................... 1
5. Pinning information .......................................................2
6. Ordering information .....................................................2
7. Marking ...........................................................................2
8. Limiting values ..............................................................3
9. Thermal characteristics ................................................6
10. Isolation Characteristics .............................................6
11. Characteristics .............................................................7
12. Package outline .........................................................10
13. Legal information ...................................................... 11
14. Contents ..................................................................... 13
© WeEn Semiconductors Co., Ltd. 2018. All rights reserved
For more information, please visit: http://www.ween-semi.com
For sales office addresses, please send an email to: salesaddresses@ween-semi.com
Date of release: 16 April 2018